طراحی بانک اطلاعاتی(قسمت اول)
سه شنبه, ۱۵ مرداد ۱۳۹۲، ۱۲:۵۷ ب.ظ
مبحث طراحی بانک اطلاعاتی از مباحث خیلی مهم پایگاه داده است واگر ما در طراحی تجربه و مهارت لازم را نداشته باشیم حتما به مشکل بر
خواهیم خورد...
برای طراحی بانک اطلاعاتی ما سه مبحث کلی دارین :
- مدل سازی مفهومی
- مدل سازی فیزیکی
- پیاده سازی فیزیکی
Entity : شی
Relation : رابطه
Attribute : صفت
شناسایی کلاس های ماندگار: منظور از کلاس ، یعنی 5 مفهوم کلی که عبارتند از :
- اشیاء مثل کالا
- افراد مثل دانشجو
- مکان مثل اتاق
- رویداد مثل ثبت نام
- مفاهیم انتزاعی مثل درس
- شناسایی ویژگی های هر کلاس
سوال ؟ آیا کلاسی وجود دارد که (Attribute(Att نداشته باشد ؟
بله-در مفهوم کلی این امکان وجود دارد اما در پیادسازی فیزیکی این سوال بی معناست چون وقتی Att نداشته باشیم لزومی به ایجادش نیست.
- شناسایی روابط :
1-3) رابطه تعمیم (Generalization) که در تعریف مفهوم یعنی اینکه رابطه Is .
2-1) اتصال (Associotion) که در تعریف مفهوم یعنی اینکه رابطه Has.
- چندی (Muliticity) : تعداد اشیاء
- چند گانه (Muliple) : تعداد روابط
- چند تایی (n.Aray) : این مبحث نیاز به تمرین زیاد است که در مرور زمان آن را فرا می گیریم.
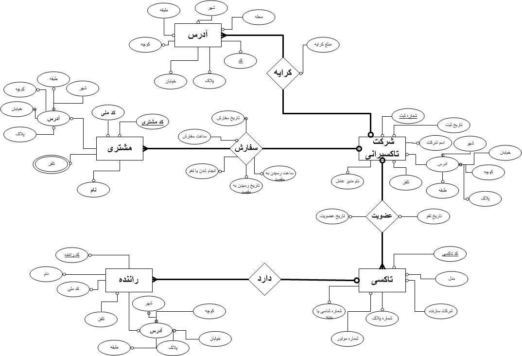
به مدل سازی مفهومی ERD یا ER یا Chen ER (چن مبتکر این روش بود)نیز می گویند Entity Relation Diagram = ERD
در زیر نمونه ای از یک ERD که به عنوان پروژه پایگاه داده در دانشگاه پیاده سازی کردیم را برایتان قرار دادم :
البته در طراحی خیلی نکات اشتباه طراحی شده بود و دلیلش همانطور که گفتم نبود تجربه کافی است البته در بحث پیاده سازی این اشتباهات رفع شد....برای طراحی این ERD ما با نرم افزار Visio کار کردیم البته چند نرم افزار دیگه مثله Power Designer را نصب کردیم اما ویزیو راحتر وکاملتر بود...
این فقط مبحث طراحی مفهومی بود که به مرور با مباحث مدل سازی فیزیکی و پیاده سازی فیزیکی آشنا خواهیم شد.

لذت بردم از بیان شیوای شما در این پست!
واقعا مفید هست
متشکرم